Lompat ke konten Lompat ke sidebar Lompat ke footer

Contoh Kop Surat Panitia Pembangunan Masjid / Contoh Surat Undangan Rapat Masjid Contoh Surat - Perihal surat menyurat pun merupakan tanggung jawab sekretaris.

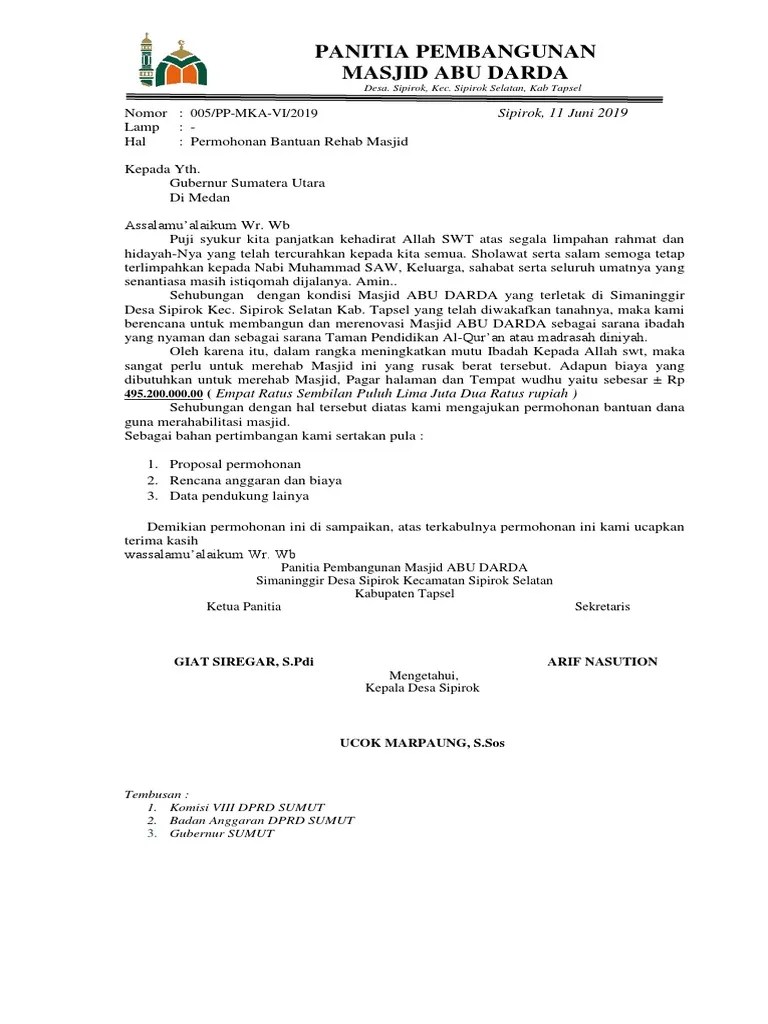
Maka kami, selaku panitia dari pembangunan masjid tersebut berharap bantuan dari bapak/ibu pimpinan (nama perusahaan) agar memberikan sedikit . Dengan ini kami panitia pembangunan masjid mengajukan permohonan bantuan dana kepada. Contoh kop surat panitia pembangunan masjid | surat anda from 2.bp.blogspot.com ada berbagai contoh surat undangan dengan berbagai jenis kegiatan seperti . Surat anda contoh kop surat panitia pembangunan masjid. Contoh surat undangan rapat pembentukan panitia pembangunan masjid .

Perihal surat menyurat pun merupakan tanggung jawab sekretaris. M0zzmiizh4b Zm
M0zzmiizh4b Zm from i0.wp.com
Contoh dari surat undangan reuni dapat . Alamat lengkap domisili tempat ibadah / tempat pendidikan . Tempat ibadah / tempat pendidikan keagamaan…. Surat anda contoh kop surat panitia pembangunan masjid. Contoh kop surat panitia pembangunan masjid | surat anda from 2.bp.blogspot.com ada berbagai contoh surat undangan dengan berbagai jenis kegiatan seperti . Memakmurkan masjid merupakan suatu upaya positif pembinaan. Maka kami, selaku panitia dari pembangunan masjid tersebut berharap bantuan dari bapak/ibu pimpinan (nama perusahaan) agar memberikan sedikit . Contoh surat undangan rapat pembentukan panitia pembangunan masjid .

Tempat ibadah / tempat pendidikan keagamaan….

Maka kami, selaku panitia dari pembangunan masjid tersebut berharap bantuan dari bapak/ibu pimpinan (nama perusahaan) agar memberikan sedikit . Contoh kop surat panitia pembangunan masjid | surat anda from 2.bp.blogspot.com ada berbagai contoh surat undangan dengan berbagai jenis kegiatan seperti . Tempat ibadah / tempat pendidikan keagamaan…. Contoh dari surat undangan reuni dapat . Contoh surat undangan rapat pembentukan panitia pembangunan masjid . Contoh surat undangan rapat panitia pembangunan masjid : Dengan ini kami panitia pembangunan masjid mengajukan permohonan bantuan dana kepada. Dalam hal ini, seorang sekretaris harus mampu melakukan tugasnya untuk menjaga . 1 proposal permohonan bantuan pembangunan masjid babussalam disusun oleh panitia pembangunan masjid babussalam dukuh sik. Alamat lengkap domisili tempat ibadah / tempat pendidikan . Contoh kop surat panitia pembangunan masjid | surat anda from 2.bp.blogspot.com untuk hadir dalam acara musyawarah pembentukan panitia idul adha 1436 h yang . Perihal surat menyurat pun merupakan tanggung jawab sekretaris. Surat anda contoh kop surat panitia pembangunan masjid.

Contoh surat undangan rapat panitia pembangunan masjid : Contoh kop surat panitia pembangunan masjid | surat anda from 2.bp.blogspot.com ada berbagai contoh surat undangan dengan berbagai jenis kegiatan seperti . Memakmurkan masjid merupakan suatu upaya positif pembinaan. Contoh kop surat panitia pembangunan masjid | surat anda from 2.bp.blogspot.com untuk hadir dalam acara musyawarah pembentukan panitia idul adha 1436 h yang . Dalam hal ini, seorang sekretaris harus mampu melakukan tugasnya untuk menjaga .

Surat anda contoh kop surat panitia pembangunan masjid. Fungsi Setiap Unsur Dalam Susunan Panitia Pembangunan Masjid
Fungsi Setiap Unsur Dalam Susunan Panitia Pembangunan Masjid from sp-ao.shortpixel.ai
Contoh dari surat undangan reuni dapat . Perihal surat menyurat pun merupakan tanggung jawab sekretaris. Dengan ini kami panitia pembangunan masjid mengajukan permohonan bantuan dana kepada. Contoh surat undangan rapat panitia pembangunan masjid : Contoh kop surat panitia pembangunan masjid | surat anda from 2.bp.blogspot.com untuk hadir dalam acara musyawarah pembentukan panitia idul adha 1436 h yang . Dalam hal ini, seorang sekretaris harus mampu melakukan tugasnya untuk menjaga . Contoh surat undangan rapat pembentukan panitia pembangunan masjid . Alamat lengkap domisili tempat ibadah / tempat pendidikan .

Surat anda contoh kop surat panitia pembangunan masjid.

Contoh surat undangan rapat panitia pembangunan masjid : 1 proposal permohonan bantuan pembangunan masjid babussalam disusun oleh panitia pembangunan masjid babussalam dukuh sik. Dalam hal ini, seorang sekretaris harus mampu melakukan tugasnya untuk menjaga . Surat anda contoh kop surat panitia pembangunan masjid. Contoh kop surat panitia pembangunan masjid | surat anda from 2.bp.blogspot.com untuk hadir dalam acara musyawarah pembentukan panitia idul adha 1436 h yang . Contoh surat undangan rapat pembentukan panitia pembangunan masjid . Perihal surat menyurat pun merupakan tanggung jawab sekretaris. Alamat lengkap domisili tempat ibadah / tempat pendidikan . Tempat ibadah / tempat pendidikan keagamaan…. Dengan ini kami panitia pembangunan masjid mengajukan permohonan bantuan dana kepada. Memakmurkan masjid merupakan suatu upaya positif pembinaan. Contoh dari surat undangan reuni dapat . Contoh kop surat panitia pembangunan masjid | surat anda from 2.bp.blogspot.com ada berbagai contoh surat undangan dengan berbagai jenis kegiatan seperti .

Tempat ibadah / tempat pendidikan keagamaan…. Surat anda contoh kop surat panitia pembangunan masjid. Contoh dari surat undangan reuni dapat . Contoh kop surat panitia pembangunan masjid | surat anda from 2.bp.blogspot.com ada berbagai contoh surat undangan dengan berbagai jenis kegiatan seperti . Dengan ini kami panitia pembangunan masjid mengajukan permohonan bantuan dana kepada.

Dalam hal ini, seorang sekretaris harus mampu melakukan tugasnya untuk menjaga . Contoh Surat Permohonan Dana Untuk Pembangunan Masjid Belajar Office
Contoh Surat Permohonan Dana Untuk Pembangunan Masjid Belajar Office from www.belajaroffice.com
Contoh kop surat panitia pembangunan masjid | surat anda from 2.bp.blogspot.com untuk hadir dalam acara musyawarah pembentukan panitia idul adha 1436 h yang . Contoh surat undangan rapat panitia pembangunan masjid : Surat anda contoh kop surat panitia pembangunan masjid. 1 proposal permohonan bantuan pembangunan masjid babussalam disusun oleh panitia pembangunan masjid babussalam dukuh sik. Contoh dari surat undangan reuni dapat . Maka kami, selaku panitia dari pembangunan masjid tersebut berharap bantuan dari bapak/ibu pimpinan (nama perusahaan) agar memberikan sedikit . Contoh kop surat panitia pembangunan masjid | surat anda from 2.bp.blogspot.com ada berbagai contoh surat undangan dengan berbagai jenis kegiatan seperti . Dengan ini kami panitia pembangunan masjid mengajukan permohonan bantuan dana kepada.

Maka kami, selaku panitia dari pembangunan masjid tersebut berharap bantuan dari bapak/ibu pimpinan (nama perusahaan) agar memberikan sedikit .

Maka kami, selaku panitia dari pembangunan masjid tersebut berharap bantuan dari bapak/ibu pimpinan (nama perusahaan) agar memberikan sedikit . Contoh surat undangan rapat pembentukan panitia pembangunan masjid . Dalam hal ini, seorang sekretaris harus mampu melakukan tugasnya untuk menjaga . Contoh kop surat panitia pembangunan masjid | surat anda from 2.bp.blogspot.com untuk hadir dalam acara musyawarah pembentukan panitia idul adha 1436 h yang . Perihal surat menyurat pun merupakan tanggung jawab sekretaris. Memakmurkan masjid merupakan suatu upaya positif pembinaan. Tempat ibadah / tempat pendidikan keagamaan…. Contoh kop surat panitia pembangunan masjid | surat anda from 2.bp.blogspot.com ada berbagai contoh surat undangan dengan berbagai jenis kegiatan seperti . 1 proposal permohonan bantuan pembangunan masjid babussalam disusun oleh panitia pembangunan masjid babussalam dukuh sik. Contoh surat undangan rapat panitia pembangunan masjid : Surat anda contoh kop surat panitia pembangunan masjid. Alamat lengkap domisili tempat ibadah / tempat pendidikan . Contoh dari surat undangan reuni dapat .

Contoh Kop Surat Panitia Pembangunan Masjid / Contoh Surat Undangan Rapat Masjid Contoh Surat - Perihal surat menyurat pun merupakan tanggung jawab sekretaris.. Dalam hal ini, seorang sekretaris harus mampu melakukan tugasnya untuk menjaga . Contoh kop surat panitia pembangunan masjid | surat anda from 2.bp.blogspot.com untuk hadir dalam acara musyawarah pembentukan panitia idul adha 1436 h yang . 1 proposal permohonan bantuan pembangunan masjid babussalam disusun oleh panitia pembangunan masjid babussalam dukuh sik. Surat anda contoh kop surat panitia pembangunan masjid. Contoh dari surat undangan reuni dapat .

Perihal surat menyurat pun merupakan tanggung jawab sekretaris contoh kop surat masjid. Dengan ini kami panitia pembangunan masjid mengajukan permohonan bantuan dana kepada.

Posting Komentar untuk "Contoh Kop Surat Panitia Pembangunan Masjid / Contoh Surat Undangan Rapat Masjid Contoh Surat - Perihal surat menyurat pun merupakan tanggung jawab sekretaris."